关于30年期国债期货合约上市交易有关事项的通知
发布时间:2023/04/20
尊敬的客户:
中国证监会已同意中国金融期货交易所30年期国债期货注册。现将30年期国债期货合约上市交易有关事项通知如下:
一、上市交易时间
30年期国债期货合约自2023年4月21日(星期五)起上市交易。
二、上市交易合约和挂盘基准价
30年期国债期货首批上市合约为2023年6月(TL2306)、2023年9月(TL2309)和2023年12月(TL2312)。各合约挂盘基准价由交易所在合约上市交易前一交易日公布。
三、交易保证金和涨跌停板幅度
30年期国债期货各合约交易所保证金为合约价值的3.5%,自交割月份之前的两个交易日结算时起,交易所保证金标准为合约价值的5%。我司30年期国债期货各合约的公司交易保证金收取标准为5%(具体标准以公司网站交易提示为准)。对2年期国债期货、5年期国债期货、10年期国债期货和30年期国债期货的跨品种双向持仓,按照交易保证金单边较大者收取交易保证金。上市当日各合约的涨跌停板幅度为挂盘基准价的±7%,日常涨跌停板幅度为上一交易日结算价的±3.5%。
四、相关费用
存量客户手续费收取标准:
30年期国债期货(TL)的手续费等同于5年期国债期货(TF)的手续费。
我司手续费收取标准:
30年期国债期货合约的手续费标准暂定为每手9元,平今仓交易免收手续费,交割手续费标准为每手15元,交割手续费至2023年12月31日止减半收取。交易所有权根据市场运行情况对手续费标准进行调整。
五、交易指令每次最大下单数量
30年期国债期货各合约限价指令每次最大下单数量为50手,市价指令每次最大下单数量为30手。
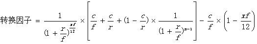
六、可交割国债、转换因子及应计利息
30年期国债期货各合约的可交割国债和转换因子由交易所在合约上市交易前公布。其转换因子计算公式如下:

其中,r:30年期国债期货合约票面利率3%;
x:交割月到下一付息月的月份数;
n:剩余付息次数;
c:可交割国债的票面利率;
f:可交割国债每年的付息次数。
计算结果四舍五入至小数点后4位。
其应计利息的日计数基准为“实际天数/实际天数”,即每100元可交割国债的应计利息计算公式如下:

应计利息=(可交割国债票面利率×100)/每年付息次数×(第二交割日-上一付息日)/当前付息周期实际天数
计算结果四舍五入至小数点后7位。
七、做市商持仓限额
做市商所有月份30年期国债期货合约单边持仓限额为6000手,某一合约在交割月份之前的一个交易日起,单边持仓限额为1200手。
30年期国债期货合约上市交易其他事项另行公布。
八、关于30年期国债期货交易权限的说明
已经开通中国金融期货交易所国债期货交易权限的客户,将自动获取新上市30年期国债期货的交易权限,如需关闭权限请向公司提出书面申请。
特此通知。
广州金控期货有限公司
2023年4月20日





